PAIR DANCING - LESSON 12
LEFT-HANDED WAVE CALLS

© 2009 CPSD


**************



12.1   CALLS THAT HAVE LEFT-HANDED WAVES

The LEFT HAND WAVE calls given in this section are unavoidable. Left hand calls in general require the caller and dancer to learn the abstract definition of a call as it is done from different formations. Many dancers may be incapable or unwilling to learn the definitions, which would in turn limit the wide acceptance of square dancing. It is assumed in this course that the students, both callers and dancers, will only be required to learn (reflexively respond to) a pattern  corresponding to a particular call.

There are 2 variations of the LEFT-HAND WAVE. One has MAN dancers on the end. The other has LADY dancers on the end. The main concerns in this section are:

1)  When does the LEFT HAND WAVE occur?
2) How does the caller get back to a right hand formation as quickly as possible?



Wave with Beaus on the end

Figure 12-1.   A left-hand WAVE with MAN dancers on the end.


Wave with Belles on the end

Figure 12-2.   A left-hand WAVE with LADY dancers on the end.

NOTE: Many of the right-hand wave calls previously described can be done from a left-handed formaton, such as STEP TO A LEFT-HAND WAVE.  Descriptions of these calls are not duplicated here.


12.1.1   U-TURN BACK

WAVE: All dancers U-Turn back. The dancers end up in a LEFT-HANDED WAVE. Right-hand waves become left-hand waves. Left-hand waves become right-hand waves.

TBD
Right hand wave to
left hand wave



U-Turn Back

Figure 12-3.   U-TURN BACK from a WAVE to form a LEFT-HANDED WAVE.


12.1.2   MEN U-TURN BACK


TWO FACE LINE: The BEAU dancers U-Turn back. The dancers end up in a LEFT-HANDED WAVE.

TBD
Right hand 2-faced line to

left hand wave

Beaus U-TUrn Back

Figure 12-4.   ENDS U-TURN BACK from a LINE to form a WAVE.


12.1.3   LADIES RUN

COUPLE (RIGHT HAND Hand COUPLE): The MAN dancer walks 180º around the LADY dancer and the LADY dancer slides without turning inside the MAN dancer so that each takes the other’s place. However, the MAN dancer ends up facing the opposite direction as a RIGHT HAND COUPLE (COUPLE) TIMING: 4 Steps.

 ANIMATION    RH Line to LH Wave

 ANIMATION   LH Wave to RH Line
Ladies Run

Figure 12-5.   LADIESMEN RUN.


12.1.2   TRADE THE WAVE

WAVE: The dancers facing the same direction (lean forward and peak at each other and) trade with this dancer.

 Right-hand waves become left-hand waves. Left-hand waves become right-hand waves. Also, end dancers become centers, and center dancers become ends.

 ANIMATION  Right to Left Hand

 ANIMATION  Left to Right Hand
Trade the Wave

Figure 12-6.   TRADE THE WAVE.


12.1.3   CENTERS CROSS-RUN

WAVE: The two dancers in the center cross run to the ends of the wave and the center dancers slide together.

Right-hand waves become left-hand waves. Left-hand waves become right-hand waves. Also, end dancers become centers, and center dancers become ends.

 ANIMATION  Right to Left Hand

 ANIMATION  Left to Right Hand

Centers Cross Run

Figure 12-7.   CENTERS CROSS-RUN.


12.1.4   DIXIE STYLE TO A WAVE

IN-FACING BOX: The right hand dancers step forward and to the left to become the lead dancers in a CIRCULATION BOX. Lead dancers join right hands and pull by.

The lead dancers move to the trailing dancer on the other side, each extends a left hand and touches left hands and continues turning one quarter (90°).

New center dancers join right hands and form a LEFT-HAND WAVE.

 ANIMATION 
Dixie Style to a Wave

Figure 12-8.   DIXIE STYLE TO A WAVE.


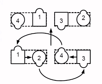
12.1.5   FOLLOW YOUR NEIGHBOR

CIRCULATE BOX: In-facing dancers release hands with their partner (which is their NEIGHBOR) and step forward to join adjacent forearms with the dancer they meet. These two center dancers turn three-quarters (270°) to become centers of a WAVE.

At the same time, the out-facing dancers follow their NEIGHBOR by moving outward in a three-quarter looping turn (270°) around the hand they just let go of to turn towards their NEIGHBOR, These dancers end up adjacent to their NEIGHBOR and as the ends of the WAVE.

 ANIMATION 
Follow Your Neighbor

Figure 12-9.   FOLLOWY YOUR NEIGHBOR.


12.1.6   AND SPREAD

WAVE: The two dancers on each side of the wave side nose to nose.

The SPREAD converts the left-hand wave to a right-hand wave and a right-handed wave into a left-handed wave.

 ANIMATION 
(Right hand couples only)
Follow Your Neighor and Spread ANIMATION
(Explode & Touch a Quarter)

Figure 12-10.   FOLLOWY YOUR NEIGHBOR AND SPREAD.


12.1.6   EXPLODE AND


LEFT HAND WAVE: All dancers release hands, step forward and turn a quarter (90°) to the center of the box to face the other dancer. The dancers end up in an IN-FACING BOX.

The dancers may now do any call that can be called starting from an IN-FACING BOX.
 
Explode and

Figure 12-11.   EXPLODE


12.1.6   CHAIN DOWN THE LINE

LEFT HAND WAVE: The centers trade while ends adjust as necessary to meet the center dancers. Then the ends do a courtesy turn with the centers. The dancers end up in an IN-FACING BOX.

 ANIMATION
(View Bottom wave)
 
Chain Down the Line

Figure 12-12    CHAIN DOWN THE LINE


12.2   SUMMARY of some LEFT-HANDED calls

·    U-TURN BACK (015)
.    MEN U-TURN BACK (015)
.    CHAIN DOWN THE LINE (018)
.    LADIES RUN (041)
·    CENTER CROSS- RUN (041)
·    DIXIE STYLE TO A WAVE (064)
·    ANYTHING & SPREAD (072)
     EXPLODE AND (080)
·    FOLLOW YOUR NEIGHBOR (085)
·    TRADE THE WAVE (100)


CALLER’S NOTE:

When the calls DIXIE STYLE TO A WAVE and FOLLOW YOUR NEIGHBOR are called such that left-handed waves are formed, it would be wise to soon restore right-handed waves by calling either one of these calls again, or by calling calls like AND SPREAD, LADIES RUN, TRADE THE WAVE, or CENTERS CROSS-RUN.


12.3   PRACTICE CALL SEQUENCES

 MUSIC FOR TYRING THE EXERCISES

12.3.1   EXERCISE 12.1 – FOLLOW YOUR NEIGHBOR AND SPREAD

·   
SQUARE YOUR SET
·    TOUCH A QUARTER
·    CIRCULATE
·    FOLLOW YOUR NEIGHBOR 
·    & SPREAD   
·    BEAUS RUN  
·    WHEEL & DEAL (home)

12.3.2   EXERCISE 12.2 – FOLLOW YOUR NEIGNBOR, TRADE THE WAVE

·   
SQUARE YOUR SET
·    TOUCH A QUARTER  
·    CIRCULATE  
·    FOLLOW YOUR NEIGHBOR
·    TRADE THE WAVE  
·    BELLES U-TURN BACK
·    WHEEL & DEAL (home)

12.3.3   EXERCISE 12.3 – DIXIE STYLE TO A WAVE

·    SQUARE YOUR SET 
·    DIXIE STYLE TO A WAVE
·    CENTERS CROSS RUN
·    LINEAR CYCLE (home)  




Last updated April 29, 2009
  CPSD HOME PAGE

HTML 4.01