PAIR DANCING - LESSON 9
WAVE CALLS (Part 2 of 3)

© 2009 CPSD


   ******* Mainstream Calls *******
SWING THRU
SPIN THE TOP
FAN THE TOP
ENDS FOLD
******* Plus Calls *******
ACEY DEUCEY
PEEL THE TOP
**************



9.1   CALLS THAT START AND END IN WAVES


9.1.1   SWING THRU

WAVE: Those who can, turn by the right one half (180°), then those who can, turn by the left one half (180°). The dancers end up in a WAVE. Note that centers become ends and ends become centers.

 ANIMATI0N  

Swing Thru

Figure 9-1. SWING THRU.


9.1.2   SPIN THE TOP

RIGHT HAND WAVE: Each end and the adjacent center dancer turn one half (180°). The new center dancers turn three quarters (270°) while each outside dancer moves forward in a quarter circle to meet the same center dancer with whom he started. The dancers end up in a WAVE that is rotated 90° from the orientation of the original WAVE.  Note that centers become ends and ends become centers.

 ANIMATI0N

Spin the Top

Figure 9-2. SPIN THE TOP.


9.1.3   FAN THE TOP

RIGHT HAND WAVE: The center dancers turn three quarters (270°) while the end dancers move forward in a quarter circle. The dancers end up in a RIGHT HAND WAVE that is rotated 90° from the orientation of the original WAVE. Note that centers remain centers and ends remain ends.

 ANIMATI0N 
Fan the Top

Figure 9-3. FAN THE TOP.


9.1.4   ENDS FOLD, PEEL THE TOP

9.2.4.1   ENDS FOLD

RIGHT HAND WAVE: The end dancers step forward and move in a small semicircle to end facing toward an adjacent dancer who has stepped forward to meet the end dancer. The dancers end up in a CIRCULATION BOX.

 ANIMATI0N
Ends Fold

Figure 9-4. ENDS FOLD.


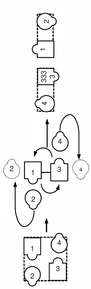
9.1.4.2   PEEL THE TOP

CIRCULATION BOX: The lead dancers PEEL OFF (see 7.1.7) as the trailing dancers step straight forward and take adjacent hands. Everyone then does a FAN THE TOP (see 9.1.3) to form a TWO-FACED LINE.

 ANIMATI0N 
Peel the Top

Figure 9-5. PEELTHE TOP.


9.1.5   ACEY DEUCEY

WAVE: Center dancers trade, and the end dancers trade (circulate).



Axcey Duecey

Figure 9-6. ACEY DEUCEY


9.2  SUMMARY of calls with WAVES, Part II

·    SWING THRU (040)
·    SPIN THE TOP (058)
·    FAN THE TOP (083)
·    ENDS FOLD (063)
·    ACEY DEUCEY (070)
·    PEEL THE TOP ((090)


9.3  PRACTICE CALL SEQUENCES

 MUSIC FOR TYRING THE EXERCISES

9.3.1  EXERCISE 9.1 – SWING THRU, ACEY DEUCEY

·    Square your set   
·    STEP TO A WAVE  
·    SWING THRU   
·    SWING THRU  
·    ACEY DEUCEY   
·    ACEY DEUCEY     
·    BEAUS RUN        
·    WHEEL & DEAL      
·    R&L THUR (home )

9.3.2  EXERCISE 9.2 – SPIN THE TOP

·    Square your set         
·    STEP TO A WAVE  
·    SPIN THE TOP  
·    SPIN THE TOP          
·    SSPIN THE TOP   
·    BELLES RUN     
·    BEND THE LINE  
·    BELLES CHAIN (home)  

9.3.3  EXERCISE 9.3 FAN THE TOP
·    Square your set        
·    STEP TO A WAVE       
·    FAN THE TOP       
·    FAN THE TOP    
·    FAN THE TOP        
·    BELLES U-TURN BACK    
·    BEND THE LINE       
·    BELLES CHAIN (home)   

9.3.4  EXERCISE 9.4 PEEL THE TOP

·    Square your set        
·    STEP TO A WAVE     
·    ENDS FOLD             
·    PEEL THE TOP          
·    CENTERS HALF SASHAY      
·    ENDS FOLD        
·    PEEL THE TOP         
·    WHEEL & DEAL (home)      




Last updated September 16, 2021
  CPSD HOME PAGE

HTML 4.01